看看硬脂酸铁能不能加速LDPE膜的光降解作用
硬脂酸铁是一种低毒、价廉而有效的紫外光敏剂。许多作者研究了Fest3对PP、HDPE和LDPE光氧化过程熔体流动指数、物理性能和羧基指数的影响, 作了光氧化动力学测定, 并提出其光降解作用机理等。但这些文献都未涉及到Fest3在不同温度下或与其它酮类光敏剂共混下对光氧化LDPE的作用和影响。因此,为了开发和应用以Fest3为光敏剂的可控光分解LDPE膜,本文进一步研究了Fest3的合成、产物表征、及其不同条件下对LDPE的光敏化效果。
1实验部分
1.1材料本实验所用原材料及规格见表1。

1.2制备
在500L搪瓷反应釜中,加入一定量白色粉状硬脂酸和去离子水,加热到90℃,搅拌使其溶解,按1:1摩尔比加入30%液碱,生成稀的硬脂酸钠水溶液。按3,1摩尔比加入一定量30%三氧化铁水溶液,在搅拌下迅速发生复分解反应,生成红棕色沉淀。待反应至沉淀全部从水中析出,经离心机过滤,并用自来水/蒸馏水洗涤,至洗液无抓离子为止。将产物在70℃左右的烘房中烘干(30h以上),即得红棕色粉状成品,此即Fest3。如经丙酮洗涤,可进一步制得Fest3结晶。
同法可制备月桂酸铁(Felau3)和辛酸铁(FeOct3)。
将Fest3与分散剂、LDPE一起在GH50型高速捏合机和SJ65型单螺杆挤出机里混炼、塑化、挤出和造粒,制成含Fest3母粒.再将此母粒与LDPE、LLDPE一起在φ65型吹塑成型机里捏合并吹塑成膜,制成含各种浓度的Fest3一LDPE膜,膜厚50~100μm。同法制备含Felau3或FeOct3的LDPE膜。
1.3光降解试验
使用自制高压汞灯箱(功率450Wx4)进行人工加速紫外(UV)光降解LDPE膜试验,控制膜灯距离40cm,箱内温度分别为70℃(气温38一40℃)或40℃(气温15一20℃)两种情况。
1.4分析与测试
使用日本岛津ICPQ一100型等离子体发射光谱仪测定Fest3纯品中的Fe元素含量,再用美国PE公司240C型元素分析仪测其C、H元素的含量。
使用日本岛津D7一40型热分析仪绘出Fest3的差热和热失重曲线,升温速率10℃/min,静态空气,试样量3mg左右。
使用日本岛津UV一300型紫外一可见光分光光度计测定Fest3在600~200nm波长范围的紫外一可见光吸收光谱,石英池L=1cm,溶剂正己烷。
使用美国PE公司983G红外分光光度计绘出Fest3及其各种PE膜试样在4000~400cm区域的红外光谱,同时计算各种LDPE膜试样的羧基指数Cl(A1710/A2020)。
使用市售乌氏粘度计按GB1841规定的一点法公式[η]=(ηsp+5lnηr)6/C测定各种LDPE膜试样的特性粘数η, ml/g、溶剂为十氢萘、温度135℃、按公式[η]=46x10-3xMη0.73计算其粘均分子量Mη。
2 结果与讨论
2.1 Fest3的分子结构
由表2可见,实测硬脂酸铁的Fe、C、H元素含量和分子结构式为Fe(OOCC17H335)3·2H2O的理论计算含量接近。

图1为硬脂酸铁的红外光谱图,表3列出其主要吸收谱带及其归属, 根据文献可确认其分子结构式为Fe(OOCC17H335)3·2H2O。

2.2 Fest3的热分解温度:
图2为Fest3在空气中的热谱,从其DTA一TG曲线看出,硬脂酸铁在空气中热分解前有熔融热效应引起的吸热峰66.4℃和99.7℃,热分解后有不同组分燃烧的热效应引起的放热峰,此即其热分解温度287.3℃(T1)、344.8℃(T2)、374,6℃(T3)和411.9℃(T4), 热分解最终产物为氧化铁.
2.3 FeSt3的紫外吸收光谱
图3表明,FeSt3在其紫外光谱区有明显的吸光现象,在波长222nm和265nm处有2个吸光度为0.245和0.190的紫外吸收峰,这正是硬脂酸铁光敏作用的基础。

2.4 Fest3对光氧化LDPE膜羧基指数的影响:
图4表明,用UV光照不含FeSt3的LDPE膜8天后,其光氧化羧基指数超过6,进入分解期;而含有0.1%~0.3%FeSt3的LDPE膜,只在UV光照3h至1.5天后其光氧化拨基指数就大于6,进入分解期。而含有0.3%FeSt3的LDPE膜,经UV光照1.5天后,其光氧化羧基指数就超过90,早已进入脆化期;对含有0.2%或0.1%FeSt3的LDPE膜,经UV光照4天或6.5天后其光氧化羧基指数也都超过52,进入脆化期。
图5表明,含0.3%羧酸铁的LDPE膜光氧化拨基指数均随UV光照时间的延长而增大,而光氧化LDPE膜的敏化活性随羧酸铁中饱和烷基碳链的增长而增加,羧酸铁的光敏催化活性依次递减如下:硬脂酸铁>月桂酸铁>辛酸铁。但0.3%月桂酸铁或0.3%辛酸铁在UV光照下敏化LDPE膜的光氧化活性较低。
比较曲线e和d可见,在高温(70℃)下LDPE膜光照h3进入分解期,1.5天后进入脆化期,而在低温(40℃)下LDPE膜则需2.5天进入分解期,7天后才进入脆化期。其原因可能是高温下同时发生了LDPE膜的UV光降解和热氧降解两种降解作用,从而导致LDPE膜光降解周期缩短,提前进入衰变期和脆裂期。
图6表明,70℃,UV光照含0.3%FeSt3,的LDPE膜,经UV光照3h后就进入衰变期,1.5天后进入脆裂期;而在LDPE中同时加入0.1%二苯甲酮后,则需UV光照2天后进入衰变期,7天后进入脆化期。这说明LDPE膜在高温下虽然同时进行UV光降解和热氧降解,但二苯甲酮仍对其起稳定作用,阻止延缓了LDPE的光热氧降解,因此可以认为二苯甲酮对LDPE不是理想的有机光敏剂。
2.5FeSt3对光氧化LDPE膜粘均分子量的影响
图7表明,在70℃和40℃下UV光照含0.3%Fest3的LDPE膜的羧基指数和粘均分子量随时间的变化,由图可见,经UV光照1.4天或7.8天后,其光氧化羧基指数就增至66,其粘均分子量从3.3万降至3500,进入脆裂期。据报道,只有LDPE粘均分子量降至5000以下的脆裂产物才能被水浸润,而产生微生物,最终进入生物分解期。

2.6 Fest3和DPK的作用机理
含有Fest3的LDPE膜在UV光照下,FeSt3吸收UV光发生如下反应产生自由基:
自由基在光热作用下引发LDPE的碳链生成自由基,进而过氧化、断链并按NorsrhⅠ型或Ⅱ型分解成酮、醛、醇、羧酸,和其它大分子自由基。由此可见,LDPE链上羧基愈多,主链断裂的次数也愈多,分子也就被降解得愈小。同时光分解过程产生的羧酸和过氧自由基ROO·,可和二价硬脂酸铁反应再生成三价大分子羧酸铁,重复上述UV光照下的光降解过程。
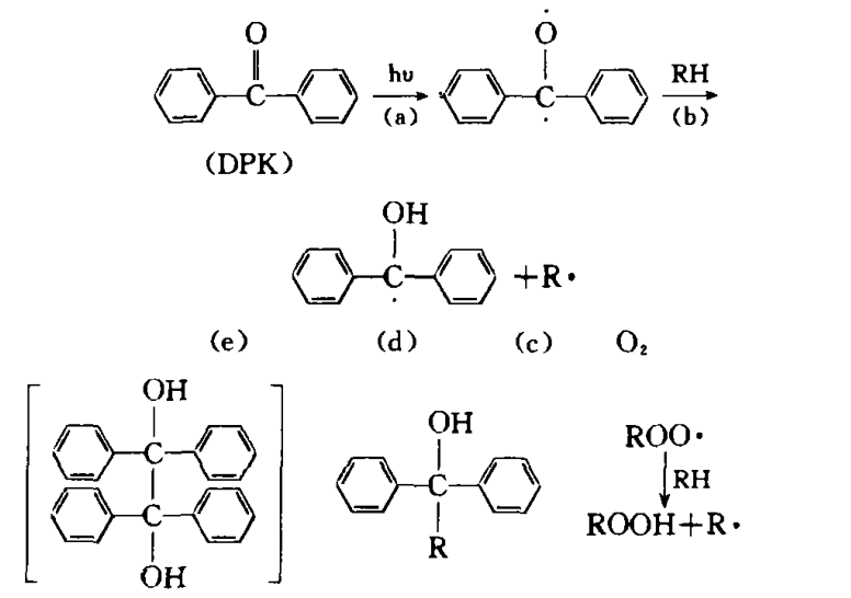
而对于DPK, UV光照下,按下列方式反应
DPK在UV光照下按(a)式分解成自由基,此自由基因与LDPE自由基R’共振相对稳定,继续按(b)式反应较慢,即使按(b)式生成了自由基,也不易按(c)式氧化断链,而因LDPE端基无空间位阻,倒易按(d)式进行端基反应,最终猝灭LDPE自由基R·而阻滞LDPE的光降解。
3结论
1在LDPE膜中加入0.1%一0.3%FeSt3光敏剂,即可控制光降解LDPE膜的使用寿命。
2羧酸铁在光降解LDPE膜中的敏化活性依次递减如下:硬脂酸铁>月桂酸铁>辛酸铁,其中月桂酸铁和辛酸铁的光敏催化活性较低。
3二苯甲酮不是LDPE的有效光敏剂,能阻滞LDPE的光降解作用。
4高温下,用紫外光照含0.3%FeSt3的LDPE膜,会急剧发生UV光降解和热氧降解、高温下UV光降解LDPE膜的光解速率高于低温下的光解速率。

康高特首页




