季戊四醇镧对 PVC 热稳定机理15-13
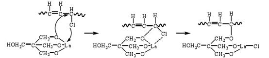
季戊四醇镧不仅可以改善PVC初期颜色,而且可以延长PVC热稳定时间,同样季戊四醇镧与PVC的反应有两种机理:
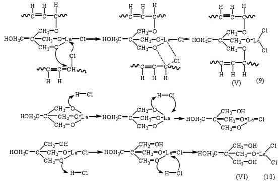
与活泼氯原子发生取代反应(反应方程9)或者与HCl发生中和反应(反应方程10)。本文用滴定实验来探究两者的反应机理,实验步骤如下:
分别称取烘干至恒重的季戊四醇镧和CaSt2、ZnSt2各0.0500g,溶于30.00mL 浓度为0.1mol/L的HCl溶液中,过量的HCl用浓度为0.1mol/L 的氢氧化钠溶液返滴,其中酚酞做指示剂。
通过计算得出(如表3-19所示),每克季戊四醇镧吸收80.3mg盐酸,1g硬脂酸锌吸收92.71mg盐酸,1g硬脂酸钙吸收104.76mg盐酸,1g铅盐稳定剂吸收278.72mg,这说明季戊四醇镧吸收HCl的能力比CaSt2/ZnSt2弱,而季戊四醇镧热稳定效果又很好,因此我们猜想季戊四醇镧通过取代活泼氯原子来抑制PVC降解。
紫外分光光度实验中可以看出添加季戊四醇镧之后,共轭链的浓度显著减小,这说明季戊四醇镧直接和活泼氯原子反应从而在源头上抑制了共轭链的形成,而电导率实验中季戊四醇镧的加入可以显著的使诱导时间缩短也可以证明季戊四醇镧能够取代PVC链中的活泼氯原子,反应方程式如反应方程9所示,季戊四醇镧与PVC通过四元环过渡态形成络合物(V),由于空间位阻的原因,反应很难进一步继续,因此,反应中不会有LaCl3
表 3-19 几种PVC稳定剂吸收氯化氢的能力

康高特首页




